Bibm@th

Forum de mathématiques - Bibm@th.net

Bienvenue dans les forums du site BibM@th, des forums où on dit Bonjour (Bonsoir), Merci, S'il vous plaît...

Vous n'êtes pas identifié(e).

#1 20-10-2023 01:41:42

Bruno010
Invité

Equation algébrique.

Bonsoir à tous,

Comment montrer que [tex]\cos \big( \dfrac{6 \pi}{11} \big)[/tex] est racine du polynôme [tex]P(x) = 32x^5 + 16x^4 - 32x^3 - 12x^2 + 6x + 1[/tex] ?

Merci d’avance.

#2 20-10-2023 08:41:43

DeGeer
Membre
Inscription : 28-09-2023
Messages : 222

Re : Equation algébrique.

Tu peux effectuer le calcul en utilisant les formules de linéarisation.

Hors ligne

#3 20-10-2023 10:55:07

Pidelta
Membre
Inscription : 03-10-2020
Messages : 96

Re : Equation algébrique.

Bonjour,

sauf erreur de ma part, c'est $cos(\dfrac{4\pi}{11})$ qui est racine de l'équation

Hors ligne

#4 20-10-2023 11:06:47

Zebulor
Membre expert
Inscription : 21-10-2018
Messages : 2 220

Re : Equation algébrique.

Bonjour,
En fait il y a 5 racines réelles de ce polynôme dont me semble t’il celle de Bruno...

Hors ligne

#5 20-10-2023 12:32:48

Pidelta
Membre
Inscription : 03-10-2020
Messages : 96

Re : Equation algébrique.

Zebulor a écrit :

Bonjour,
En fait il y a 5 racines réelles de ce polynôme dont me semble t’il celle de Bruno...

au temps pour moi!!

Hors ligne

#6 20-10-2023 12:44:16

jean-émile
Membre
Inscription : 16-07-2023
Messages : 4

Re : Equation algébrique.

Bonjour
Les cinq racines sont : cos(2*Pi/11) , cos(4*Pi/11) , cos(6*Pi/11) , (8*Pi/11) , cos(10*Pi/11)

Somme des racines = -1/2

Hors ligne

#7 20-10-2023 14:01:44

Rescassol
Membre
Lieu : 30610 Sauve
Inscription : 19-09-2023
Messages : 351

Re : Equation algébrique.

Bonjour,

[tex]T_{11}(x)=(x-1)P^2(x)+1[/tex] où [tex]T_n[/tex] est le n-ième polynôme de Tchebychev de première espèce.

Cordialement,
Rescassol

Dernière modification par Rescassol (20-10-2023 14:02:52)

Hors ligne

#8 20-10-2023 18:23:46

Black Jack
Membre
Inscription : 15-12-2017
Messages : 509

Re : Equation algébrique.

Bonjour,

Si mon aide est considérée trop précise par la modération ... pas de soucis pour supprimer ma réponse.

On pose x = cos(y)  (avec y non nul)

et on tente de résoudre l'équation : 32.cos^5(y) + 16.cos^4(y) - 32.cos³(y) - 12.cos²(y) + 6.cos(y) + 1 = 0  (1)

On linéarise :

cos^5(y) = (5/8).cos(y) + (5/16).cos(3y) + (1/16).cos(5y)

cos^4(y) = (1/8).cos(4y) + (1/2).cos(2y) + 3/8

cos³(y) = (1/4).cos(3y) + (3/4).cos(y)

cos²(y) = (1/2).cos(2y) + 1/2

cos(y) = cos(y)
****

On remet tout cela dans (1) et on doit arriver à :

2.cos(y) + 2.cos(2y) + 2.cos(3y) + 2.cos(4y) + 2.cos(5y) + 1 = 0

que l'on peut écrire : [tex]Re[\Sigma_{k=1}^5 e^{ikx}] = -\frac{1}{2}[/tex]

Le membre de gauche est la somme de 5 termes en progression géométrique de raison e^(ix) et de 1er terme e^(ix), on a donc :

[tex]Re[e^{iy}.\frac{e^{i.5y}-1}{e^{i.y}-1}] = -\frac{1}{2}[/tex]

En mettant en facteur [tex]e^{i.\frac{5y}{2}}[/tex] au numérateur du membre de gauche et [tex]e^{i.\frac{y}{2}}[/tex] en facteur  au dénominateur du membre de gauche

On arrive (en appliquant les formules d'Euler) à :

[tex]cos(3y).sin(\frac{5y}{2}) = -\frac{1}{2}.sin(\frac{y}{2})[/tex]

[tex]\frac{1}{2} . (sin(\frac{11y}{2}) + sin(-\frac{y}{2})) = -\frac{1}{2}.sin(\frac{y}{2})[/tex]

[tex]sin(\frac{11y}{2}) = 0[/tex]

Donc 11y/2 = k'.Pi
y = 2k'.Pi/11 (pour k' de 1 à 5)

... et donc x = cos(2.k'.Pi/11) (pour k' de 1 à 5) sont solutions de P(x) = 0

Dernière modification par Black Jack (21-10-2023 07:57:32)

Hors ligne

#9 21-10-2023 08:23:56

Black Jack
Membre
Inscription : 15-12-2017
Messages : 509

Re : Equation algébrique.

Rebonjour,

Je ne l'ai pas écrit dans mon message précédent, mais avant de poser x = cos(y), j'ai vérifié que les solutions de P(x) = 0 étaient comprises dans ]-1 ; 1[

Par paresse je l'ai fait en mettant la courbe de P(x) sur une calculette graphique ...

Mais on peut le faire aussi par une étude des variations de P(x), c'est un peu long mais sans difficulté majeure.
La seule mini difficulté est de trouver les valeurs de x qui annulent P'(x)  (équation du 4ème degré ... par ex par la méthode de Ferraris)

Hors ligne

#10 21-10-2023 08:28:56

Fred
Administrateur
Inscription : 26-09-2005
Messages : 7 348

Re : Equation algébrique.

Bonjour

  En réalité tu n'as pas besoin de vérifier que les solutions sont dans [-1;1] a priori. Tu considères ton équation en cos(y) tu la résous et tu trouves 5 solutions. Comme P a au plus 5 racines tu as trouvé toutes les racines de P.

F.

Hors ligne

#11 21-10-2023 10:21:58

Rescassol
Membre
Lieu : 30610 Sauve
Inscription : 19-09-2023
Messages : 351

Re : Equation algébrique.

Bonjour,

Ce que j'ai écrit plus haut suffit pour répondre à la question initiale, qui n'est pas de résoudre l'équation.

Cordialement,
Rescassol

Dernière modification par Rescassol (21-10-2023 10:22:21)

Hors ligne

#12 21-10-2023 15:48:07

Black Jack
Membre
Inscription : 15-12-2017
Messages : 509

Re : Equation algébrique.

Rescassol a écrit :

Bonjour,

Ce que j'ai écrit plus haut suffit pour répondre à la question initiale, qui n'est pas de résoudre l'équation.

Cordialement,
Rescassol

Bonjour,

Et alors ?

Il y a toujours plusieurs chemins pour résoudre un problème.

Même si ton chemin est correct, tout autre chemin permettant de répondre peut être utilisé.

Même si on ne demande pas de résoudre l'équation, si on le fait et que 6Pi/11 est parmi les solutions, on a satisfait la demande.

Bruno10 choisira ce qui correspond le mieux à ses connaissances actuelles ... ou cherchera encore une autre voie.

Hors ligne

#13 21-10-2023 17:00:23

Michel Coste
Membre Expert
Inscription : 05-10-2018
Messages : 1 464

Re : Equation algébrique.

Une autre piste, sans calcul qui prend la tête ni polynôme de Tchebycheff.

On remarque que $\cos(6\pi/11)=(\exp(6i\pi/11)+\exp(-6i\pi/11))/2$. Posons $t=\exp(6i\pi/11)$.
Alors
$$\begin{aligned}
P(\cos(6\pi/11))&=P\left(\frac12\left(t+\frac1t\right)\right)\\
&=\left(t+\frac1t\right)^5+\left(t+\frac1t\right)^4-4\left(t+\frac1t\right)^3-3\left(t+\frac1t\right)^2
\\&\qquad\qquad{}+3\left(t+\frac1t\right)+1\\
&=t^5+t^4+t^3+t^2+t+1+\frac1t+\frac1{t^2}+\frac1{t^3}+\frac1{t^4}+\frac1{t^5} \end{aligned}$$
(il suffit de calculer les coefficients des puissances positives ou nulles de $t$, les autres viennent par symétrie).
Je laisse finir

Dernière modification par Michel Coste (21-10-2023 17:04:45)

Hors ligne

#14 21-10-2023 18:56:36

Rescassol
Membre
Lieu : 30610 Sauve
Inscription : 19-09-2023
Messages : 351

Re : Equation algébrique.

Bonsoir,

Je signale que cette équation n'est pas résoluble par radicaux car $11$ n'est pas un nombre de Fermat premier.

Cordialement,
Rescassol

Hors ligne

#15 21-10-2023 23:26:44

Michel Coste
Membre Expert
Inscription : 05-10-2018
Messages : 1 464

Re : Equation algébrique.

Hum hum Rescassol, tu confonds résolubilité par radicaux et constructibilité à la règle et au compas.

Hors ligne

#16 22-10-2023 09:59:46

Black Jack
Membre
Inscription : 15-12-2017
Messages : 509

Re : Equation algébrique.

Bonjour,

En poursuivant la méthode préconisée par Michel Coste, on arrive à :

$\displaystyle P(cos(\frac{6\pi}{11}))= cos(\frac{5*6\pi}{11}) + cos(\frac{4*6\pi}{11}) + cos(\frac{3*6\pi}{11}) + cos(\frac{2*6\pi}{11}) + cos(\frac{6\pi}{11}) + 1 $

...

Hors ligne

#17 22-10-2023 10:04:38

Rescassol
Membre
Lieu : 30610 Sauve
Inscription : 19-09-2023
Messages : 351

Re : Equation algébrique.

Bonjour,

Oui, Michel, tu as raison, mais ça m'étonnerait quand même que cette équation soit résoluble par radicaux.
Sais tu calculer son groupe de Galois ?

Cordialement,
Rescassol

Hors ligne

#18 22-10-2023 10:22:31

Michel Coste
Membre Expert
Inscription : 05-10-2018
Messages : 1 464

Re : Equation algébrique.

Toutes les racines de l'équation habitent dans l'extension cyclotomique $\mathbb Q(\zeta)$ où $\zeta$ est une racine primitive 11e de l'unité. Le groupe de Galois de cette extension est $\mathbb Z/10\mathbb Z$, on ne fait pas plus résoluble !

Hors ligne

#19 22-10-2023 12:51:45

Rescassol
Membre
Lieu : 30610 Sauve
Inscription : 19-09-2023
Messages : 351

Re : Equation algébrique.

Bonjour,

Bon, d'accord, j'aurais mieux fait de me taire.
je suis quand même curieux de voir une telle solution.

Cordialement,
Rescassol

Hors ligne

#20 22-10-2023 13:11:41

Michel Coste
Membre Expert
Inscription : 05-10-2018
Messages : 1 464

Re : Equation algébrique.

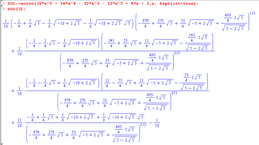
Maple satisfait ta curiosité :

lj03.png

Hors ligne

#21 22-10-2023 17:29:22

Rescassol
Membre
Lieu : 30610 Sauve
Inscription : 19-09-2023
Messages : 351

Re : Equation algébrique.

Bonjour,

Merci Michel, c'est impressionnant. Il y a peu de chance d'y arriver à la main.
Si on veut critiquer à tout prix, il faudrait une écriture sans racines carrées de nombres réels négatifs.

Cordialement,
Rescassol

Dernière modification par Rescassol (22-10-2023 17:33:02)

Hors ligne

#22 22-10-2023 18:22:52

Michel Coste
Membre Expert
Inscription : 05-10-2018
Messages : 1 464

Re : Equation algébrique.

"Si on veut critiquer à tout prix, il faudrait une écriture sans racines carrées de nombres réels négatifs."
Et tu voudrais ça aussi pour la résolution par radicaux de l'équation du 3e degré ?

Hors ligne

#23 22-10-2023 18:47:23

Rescassol
Membre
Lieu : 30610 Sauve
Inscription : 19-09-2023
Messages : 351

Re : Equation algébrique.

Bonsoir,

Dans le cas général, non. Mais dans ce cas particulier, peut on justifier que c'est impossible?

Cordialement,
Rescassol

Dernière modification par Rescassol (22-10-2023 18:47:54)

Hors ligne

#24 22-10-2023 20:35:00

Michel Coste
Membre Expert
Inscription : 05-10-2018
Messages : 1 464

Re : Equation algébrique.

Je ne sais pas formuler d'argument, mais tu peux remarquer qu'on prend une racine carrée de nombre négatif quand les trois racines du polynôme de degré 3 sont réelles. Ici aussi, les cinq racines du polynôme sont réelles.

Hors ligne

#25 22-10-2023 20:44:38

Rescassol
Membre
Lieu : 30610 Sauve
Inscription : 19-09-2023
Messages : 351

Re : Equation algébrique.

Bonsoir,

Oui, même si ce n'est pas une preuve, c'est un bon indice.
Merci, Michel.

Codialement,
Rescassol

Hors ligne

Réponse rapide

Veuillez composer votre message et l'envoyer
Nom (obligatoire)

E-mail (obligatoire)

Message (obligatoire)

Programme anti-spam : Afin de lutter contre le spam, nous vous demandons de bien vouloir répondre à la question suivante. Après inscription sur le site, vous n'aurez plus à répondre à ces questions.

Quel est le résultat de l'opération suivante (donner le résultat en chiffres)?
quarantetrois plus quarantehuit
Système anti-bot

Faites glisser le curseur de gauche à droite pour activer le bouton de confirmation.

Attention : Vous devez activer Javascript dans votre navigateur pour utiliser le système anti-bot.

Pied de page des forums