Formulaire de Mathématiques : Transformée en Z
Définition et domaines de convergence
Définition : Soit (un) une suite. On appelle transformée en Z de cette suite la fonction
d'une variable complexe définie par :
En séparant la somme en deux, somme sur les entiers négatifs et somme sur les entiers positifs, on distingue deux séries entières, l'une en z et l'autre en 1/z.
Le domaine de convergence de la transformée en z est alors une couronne.
Souvent, on n'étudie la transformée en Z que pour des suites causales, c'est-à-dire des suites telles que un=0 pour n<0.
La définition devient alors


Définition et domaines de convergence
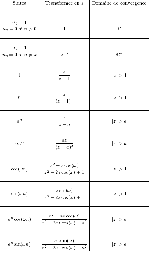
Voici une table des transformées en Z usuelles. On ne considère que des suites causales.

Propriétés de la transformée en z
La transformée en Z possède les propriétés formelles suivantes :

Théorème : Soit (x(n)) une suite causale et F sa transformée en Z. Alors :
- Lorsque la limite existe,








