$$\newcommand{\mtn}{\mathbb{N}}\newcommand{\mtns}{\mathbb{N}^*}\newcommand{\mtz}{\mathbb{Z}}\newcommand{\mtr}{\mathbb{R}}\newcommand{\mtk}{\mathbb{K}}\newcommand{\mtq}{\mathbb{Q}}\newcommand{\mtc}{\mathbb{C}}\newcommand{\mch}{\mathcal{H}}\newcommand{\mcp}{\mathcal{P}}\newcommand{\mcb}{\mathcal{B}}\newcommand{\mcl}{\mathcal{L}} \newcommand{\mcm}{\mathcal{M}}\newcommand{\mcc}{\mathcal{C}} \newcommand{\mcmn}{\mathcal{M}}\newcommand{\mcmnr}{\mathcal{M}_n(\mtr)} \newcommand{\mcmnk}{\mathcal{M}_n(\mtk)}\newcommand{\mcsn}{\mathcal{S}_n} \newcommand{\mcs}{\mathcal{S}}\newcommand{\mcd}{\mathcal{D}} \newcommand{\mcsns}{\mathcal{S}_n^{++}}\newcommand{\glnk}{GL_n(\mtk)} \newcommand{\mnr}{\mathcal{M}_n(\mtr)}\DeclareMathOperator{\ch}{ch} \DeclareMathOperator{\sh}{sh}\DeclareMathOperator{\th}{th} \DeclareMathOperator{\vect}{vect}\DeclareMathOperator{\card}{card} \DeclareMathOperator{\comat}{comat}\DeclareMathOperator{\imv}{Im} \DeclareMathOperator{\rang}{rg}\DeclareMathOperator{\Fr}{Fr} \DeclareMathOperator{\diam}{diam}\DeclareMathOperator{\supp}{supp} \newcommand{\veps}{\varepsilon}\newcommand{\mcu}{\mathcal{U}} \newcommand{\mcun}{\mcu_n}\newcommand{\dis}{\displaystyle} \newcommand{\croouv}{[\![}\newcommand{\crofer}{]\!]} \newcommand{\rab}{\mathcal{R}(a,b)}\newcommand{\pss}[2]{\langle #1,#2\rangle} $$
Bibm@th
Lien copié  ✅

Formules de Werner

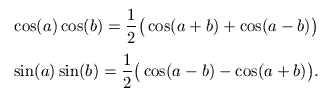
Les formules de Werner sont les égalités suivantes :
Ces formules étaient en fait déjà connues des arabes, mais elles portent ce nom car l'astronome (et prêtre) allemand Johannes Werner (1468-1528) les utilisa abondamment pour simplifier ses calculs astronomiques. Avant l'invention des logarithmes, elles servirent aussi à convertir des calculs de produits en calculs de sommes.
Recherche alphabétique
Recherche thématique