Problème de Dirichlet
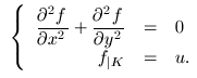
Soit $V$ un ouvert de $\mathbb R^2$ et $u$ une fonction continue définie sur $K$, le bord de $V$, à valeurs réelles. Le problème de Dirichlet pour $u$ et $V$ consiste à trouver une fonction $f$ définie sur l'adhérence de $V$, deux fois dérivable, et telle que :

La première condition exprime que $f$ est harmonique dans $V$.
Ce problème n'admet pas toujours une solution, mais dans le cas d'un ouvert borné, le principe du maximum pour les fonctions harmoniques prouve qu'il y a toujours unicité.
Consulter aussi
Recherche alphabétique
Recherche thématique







